Does the coronavirus merit investment, or personal, concern or consideration?

False. I guess it’s an easy oversight to make but it’s RIGHT THERE under the chart… (I’d not have expected you, in particular, to miss the detail…)

" Figure Notes:

Number of deaths reported on this page are the total number of deaths received and coded as of the date of analysis and do not represent all deaths that occurred in that period. Data are incomplete because of the lag in time between when the death occurred and when the death certificate is completed, submitted to NCHS and processed for reporting purposes. This delay can range from 1 week to 8 weeks or more, depending on the jurisdiction and cause of death.
"

You’ll be happy to know I didn’t overlook it :slight_smile: . They say most deaths are reported within 10 days, so I’m discounting the most recent weekly bar on the far right of the chart as still incomplete/pending. The one before that, ending Sept 5th, is 20 days past so should be more reliable. It’s showing only 1-5% excess deaths and that metric has been trending downward.

I guess depending on how slowly those get reported, the trend I’m seeing could be wrong, and it’ll take a few more weeks to see how the data shows up.

1 Like

60% is a long way from 100%… if you’re only looking at this data (and not other metrics to guess percentages reported) it says pretty clearly it can take up to 8 weeks or more. That means you can only look starting back around 1.5 months for any sort of “down” trend.

Theoretically yes. Maybe I’m being generous to think that the vast majority of deaths get reported on the front end of that 8 week timeframe, especially so for covid ones where someone is likely to be in a healthcare setting. Without knowing the distribution of report timing, or without tracking how each of those bars has grown historically, it’s hard to know for sure. Something to keep an eye on anyway, if only every week or so, for updates.

Worth recalling too that the flu season will start in another month or so, and with it an upswing in “expected” seasonal deaths. it will be interesting to see if that actually causes a rise in our total and/or excess deaths or not. Many of the same people who would normally die from flu in the winter (elderly, infirm) may well have died already from covid, and hopefully those that didn’t are taking virus precautions that should lower their chances of getting either.

1 Like

It has just been announced that Virginia’s Governor, Ralph Northam, has tested positive for COVID-19. His wife has also tested positive. The Governor is asymptomatic, and his wife has only mild symptoms so far.

Northam, a Democrat, has been working hard to shut down Trump’s outdoor rally this evening in Newport News.

ETA

Update

Apparently Trump’s MAGA rally will take place in an airplane hanger, which I presume will be open to the outdoors but will also provide shelter from rain, if any.

1 Like

Or did he just have a fever from all of the blackface?

1 Like

Anyone see Utopia on Amazon?

REALLY terrible timing. I feel bad for anyone who worked on that project.

So, the truthful headline is:

“Study finds fewer than 1 in 10 kidney dialysis patients have had Covid-19”

Actually, this is pretty funny.

The study, conducted by scientists at the Stanford University School of Medicine, tested plasma from more than 28,500 patients at kidney dialysis centers in July, during the second apex of the pandemic. Their research found just 9.3 percent of the samples showed evidence of infection by the SARS-CoV-2 virus. The findings suggest that a huge percentage of Americans are still susceptible to the coronavirus, which has killed more than 200,000 people in the United States already.

(Gotta toss in that 200k number, of course)

But the next paragraph, the same study finds:

It also suggests that millions of coronavirus cases are going undetected. More than 7 million Americans have tested positive for the virus, but the study suggests that fewer than 10 percent of those who get the virus are diagnosed. Even with increased testing capacity, tens of millions of Americans are likely to have contracted the coronavirus without knowing it.

So fewer than 10% are diagnosed, and 7 million have been diagnosed. Which would yield 70 million infected - over 20% of the population.

So which is it, less than 10% or more than 20%? I’d think it’d be pretty impossible for one study to arrive at both those conclusions.

3 Likes

The study was paid for by Democrat Big Media. But, that only explains why it doesn’t make sense. The actual numbers were tabulated by Democrat vote counters and economics experts. That explains why the numbers are incongruent.

Bender, don’t you have anything to say in the POTUS thread? I logged in thinking someone must have posted in the past 8 hours, but I’m still stuck at my 3 reply limit.

Question about this testing - what are they testing for?

Is it antibodies? Because those only remain for 2-3 months, meaning anyone who was infected last spring wouldn’t show up in this study.

Or are there more durable markers left in the blood that they can test for?

1 Like

Just got my yearly flu shot… :relaxed:

Next up the Covid-19 shot. Will it be dependable or no?

1 Like

Yes, that’s right. Plus some people don’t generate antibodies, maybe their T cell response is what stops it rather than antibodies, etc. testing for other things besides antibodies is too much trouble to do on a widespread basis.

3 Likes

I’d also assume that if you’re so sick you need dialysis, it’s likely Covid-19 would be pretty serious for you.

In any case, while Trump has done a mediocre to poor job during the pandemic, it’s evident most MSM are pouncing at every opportunity to highlight his shortcomings. Conveniently, no real comparison with the situation in many other Western countries like France, Spain or UK.

2 Likes

This is a good overview of the current state of the global infection, treatment advances, vaccines, and improving outcomes. A bit long but well done.

Alternative link.

3 Likes

And the sheep are less scared. :upside_down_face:

Lots of nice charts for various types of economic activity recovering (or not) across different countries - jobs, dining, movie going, air travel, industrial pollution, etc.

2 Likes

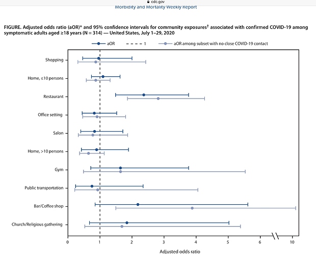
a case controlled study by the CDC - symptomatic people were divided based on PCR test outcomes (+/-) into case/control groups, and asked about their activities and exposures in the preceding two weeks. The chart below shows how much more likely you are to get a positive result if you did the activities listed, where 1 = just as likely, 2 = twice as likely etc.


Restaurant dining was correlated with positive test outcomes (2-3x more likely), and bars gyms and churches look risky too, if not meeting the 95% significance standard. The gray odds ratio bars are for the sample subset with no “close contact exposure” which makes them perhaps a better indicator of risky behavior. This is because, as expected, close contact exposure was much higher in positive cases meaning they likely got sick from that rather than their lifestyle activities. Mask wearing adherence was analyzed, but not featured prominently in the study for some reason, and showed no effect.

4 Likes